题目内容
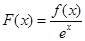
设函数
是定义在R上的函数,其中
的导函数
满足
对于
恒成立,则( )
A.![]()
B.![]()
C.![]()
D.![]()
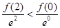
【答案】
C
【解析】
试题分析:函数
的导数为
,故函数
是定义在R上的减函数,
,即
,故有
.
同理可得
.
故选C.
考点:应用导数研究函数的单调性
练习册系列答案
相关题目
题目内容
设函数
是定义在R上的函数,其中
的导函数
满足
对于
恒成立,则( )
A.![]()
B.![]()
C.![]()
D.![]()
C
【解析】
试题分析:函数
的导数为
,故函数
是定义在R上的减函数,
,即
,故有
.
同理可得
.
故选C.
考点:应用导数研究函数的单调性