题目内容
已知等差数列{an}满足:a3=7,a5+a7=26,{an}的前n项和为Sn.(1)求an及Sn;
(2)令
【答案】分析:(1)设数列{an}的首项a1及公差d,将a3,a5,a7,用a1及d来表示,列出方程组,可解出a1及d,再由通项公式及前n项公式求出an及Sn;
(2)将an代入所给表达式可求出bn的表达式,用裂项求和可求出Tn.
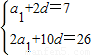
解答:解:(Ⅰ)设等差数列{an}的公差为d,
∵a3=7,a5+a7=26,
∴
,解得
∴an=3+2(n-1)=2n+1;
(Ⅱ)由(Ⅰ)知an=2n+1,
∴bn=
=
=
=
,
所以Tn=
=
即数列{bn}的前项和
.
点评:本题考查等差数列的通项公式与前n项和公式的应用、裂项法求数列的和,熟练掌握数列的基础知识是解答好本类题目的关键.
(2)将an代入所给表达式可求出bn的表达式,用裂项求和可求出Tn.
解答:解:(Ⅰ)设等差数列{an}的公差为d,
∵a3=7,a5+a7=26,
∴
∴an=3+2(n-1)=2n+1;
(Ⅱ)由(Ⅰ)知an=2n+1,
∴bn=
所以Tn=
即数列{bn}的前项和
点评:本题考查等差数列的通项公式与前n项和公式的应用、裂项法求数列的和,熟练掌握数列的基础知识是解答好本类题目的关键.
练习册系列答案
相关题目