题目内容
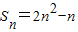
设数列{an}的前项n和为Sn,点(1)求数列{an}的通项公式;
(2)设
【答案】分析:(1)由条件知
,即
,由此能求出数列{an}的通项公式.
(2)由
,知
.由此利用错位相减法能够求出Tn.
解答:解:(1)由条件知
,
即
,…(2分)
当
.…(4分)
又n=1时,a1=s1=1符合上式,
所以an=4n-3(n∈N+);…(6分)
(2)∵
,
∴
.①
.②…(8分)
①-②得
.…(10分)
∴
.…(12分)
点评:本题考查数列的通项公式的求法,考查数列的前n项和公式的求法.解题时要认真审题,仔细解答,注意错位相减法的合理运用.
(2)由
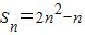
解答:解:(1)由条件知
即
当
又n=1时,a1=s1=1符合上式,
所以an=4n-3(n∈N+);…(6分)
(2)∵
∴
①-②得
∴
点评:本题考查数列的通项公式的求法,考查数列的前n项和公式的求法.解题时要认真审题,仔细解答,注意错位相减法的合理运用.
练习册系列答案
相关题目