题目内容
已知定义在(﹣1,1)上的函数f(x),满足
,并且
x,y∈(﹣1,1)都有
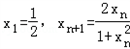
成立,对于数列{xn},有
.
(Ⅰ)求f(0),并证明f(x)为奇函数;
(Ⅱ)求数列{f(xn)}的通项公式;
(Ⅲ)对于(II)中的数列{f(xn)},
证明:
(n∈N*).
(Ⅰ)求f(0),并证明f(x)为奇函数;
(Ⅱ)求数列{f(xn)}的通项公式;
(Ⅲ)对于(II)中的数列{f(xn)},
证明:
解:(1)当x=y=0时,f(0)=0,再令x=0
得f(0)﹣f(y)=f(﹣y)
即f(y)+f(﹣y)=0
∴f(x)在(﹣1,1)上为奇函数.
(2)由
易知0<xn<1
∵f(xn)﹣f(﹣xn)=f
且f(x)且f(x)在(﹣1,1)上为奇函数
∴f(xn+1)=2f(xn),f(x1)=1
∴f(xn)是以1为首项,2为公比的等比数列
∴f(xn)=2n﹣1
(3)
=

得f(0)﹣f(y)=f(﹣y)
即f(y)+f(﹣y)=0
∴f(x)在(﹣1,1)上为奇函数.
(2)由
∵f(xn)﹣f(﹣xn)=f
且f(x)且f(x)在(﹣1,1)上为奇函数
∴f(xn+1)=2f(xn),f(x1)=1
∴f(xn)是以1为首项,2为公比的等比数列
∴f(xn)=2n﹣1
(3)
=
练习册系列答案
相关题目