题目内容
已知函数f(x)=αx-lnx.(α为常数)
(1 )当α=1时,求函数f(x)的最小值;
(2)求函数f(x)在[1,+∞)上的最值;
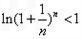
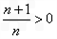
(3)试证明对任意的n∈N*都有
.
(1 )当α=1时,求函数f(x)的最小值;
(2)求函数f(x)在[1,+∞)上的最值;
(3)试证明对任意的n∈N*都有
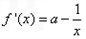
解(1)当
时,函数
=
,
∵
,令
得
∵当
时,
∴函数
在
上为减函数
∵当
时
∴函数
在
上为增函数
∴当
时,函数
有最小值,
(2 )∵
,则对任意的
都有
,
∴函数
在
上为减函数
∴函数
在
上有最大值,没有最小值,
;
若
,令
得
当
时,
,
当
时
,函数
在
上为减函数当
时
∴函数
在
上为增函数
∴当
时,函数
有最小值,
当
时,
在
恒有
∴函数
在
上为增函数,函数
在
有最小值,
.
综上得:当
时,函数
在
上有最大值,
,没有最小值;
当
时,函数
有最小值,
,没有最大值;
当
时,函数
在
有最小值,
,没有最大值.
(3)由(1)知函数
=
在
上有最小值1
即对任意的
都有
,即
,
当且仅当
时“="成立
∵
∴
且
∴

∴对任意的
都有
.
∵
∵当
∴函数
∵当
∴函数
∴当
(2 )∵
∴函数
∴函数
若
当
当
∴函数
∴当
当
∴函数
综上得:当
当
当
(3)由(1)知函数
即对任意的
当且仅当
∵
∴
∴对任意的
练习册系列答案
相关题目
已知函数f(x)=x2-bx的图象在点A(1,f(1))处的切线l与直线3x-y+2=0平行,若数列{
}的前n项和为Sn,则S2010的值为( )
| 1 |
| f(n) |
A、
| ||
B、
| ||
C、
| ||
D、
|