题目内容

命题,,使;命题.则下列命题中真命题为(     )

A.                 B.               C.                D.

 

【答案】

B

【解析】

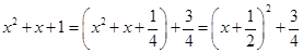
试题分析:对于命题,取,则左边,右边

,左边右边,命题为真命题;对于命题,由于

,故命题为真命题,由复合命题的真假性判断知,选项B中的命题正确.

考点:1.全称命题与特称命题真假性的判断;2.复合命题的真假性

 

练习册系列答案
相关题目

违法和不良信息举报电话:027-86699610 举报邮箱:58377363@163.com

精英家教网