题目内容
已知圆C在x轴上的截距为-1和3,在y轴上的一个截距为1.(1)求圆C的标准方程;
(2)若过点
【答案】分析:(1)由圆心公式求得圆心应该在x=1这条直线上. 设:圆心为(1,y)进而根据到(-1,0)的距离=到(0,1)的距离求得y,则圆心可知,根据点与点之间的距离公式求得圆的半径,则圆的方程可得.
(2)先看直线斜率不存在时,求得弦长为4符合题意,此时倾斜角为90°在看直线斜率存在时,设出直线方程,根据点到直线的距离求得圆心到直线的距离,进而求得斜率k,则直线的倾斜角可求.
解答:解:(1)由圆心公式:
(x1+x2)=
(-1+3)=1
圆心应该在x=1这条直线上.
设:圆心为(1,y),到(-1,0)的距离=到(0,1)的距离:
∴(1+1)2+y2=12+(y-1)2
解得y=-1
∴圆心为(1,-1)
∴r2=(1+1)2+y2=4+1=5
∴圆的方程为:
(x-1)2+(y+1)2=5
(2)当直线斜率不存在时即直线与x轴垂直时,把x=2代入圆方程求得y=1或-3,
∴|AB|=1+3=4符合题意
当直线斜率存在时,设直线方程为y-
+1=k(x-2)
由直线l被圆C截得的弦AB的长为4,圆的半径为
可求得圆心到直线的距离为
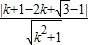
=1
∵圆心到直线的距离d=
=1求得k=
∴倾斜角的正切为
,倾斜角为30°
点评:本题主要考查了圆与直线方程的应用.考查了圆的标准方程,点到直线的距离公式.
(2)先看直线斜率不存在时,求得弦长为4符合题意,此时倾斜角为90°在看直线斜率存在时,设出直线方程,根据点到直线的距离求得圆心到直线的距离,进而求得斜率k,则直线的倾斜角可求.
解答:解:(1)由圆心公式:
圆心应该在x=1这条直线上.
设:圆心为(1,y),到(-1,0)的距离=到(0,1)的距离:
∴(1+1)2+y2=12+(y-1)2
解得y=-1
∴圆心为(1,-1)
∴r2=(1+1)2+y2=4+1=5
∴圆的方程为:
(x-1)2+(y+1)2=5
(2)当直线斜率不存在时即直线与x轴垂直时,把x=2代入圆方程求得y=1或-3,
∴|AB|=1+3=4符合题意
当直线斜率存在时,设直线方程为y-
由直线l被圆C截得的弦AB的长为4,圆的半径为
∵圆心到直线的距离d=
∴倾斜角的正切为
点评:本题主要考查了圆与直线方程的应用.考查了圆的标准方程,点到直线的距离公式.
练习册系列答案
相关题目