题目内容
已知数列{an}的前n项和Sn满足:Sn=a(Sn-an+1)(a为常数,a≠0,a≠1).(Ⅰ)求{an}的通项公式;
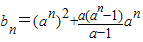
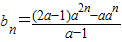
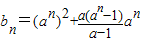
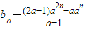
(Ⅱ)设bn=an2+Sn•an,若数列{bn}为等比数列,求a的值;
(Ⅲ)在满足条件(Ⅱ)的情形下,
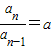
【答案】分析:(Ⅰ)由题意知a1=a,Sn=a(Sn-an+1),Sn-1=a(Sn-1-an-1+1),由此可知an=a•an-1,
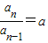
,所以an=a•an-1=an.
(Ⅱ)由题意知a≠1,
,
,由此可解得
.
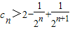
(Ⅲ)证明:由题意知
,所以
=
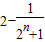
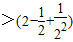
,由此可知Tn>2n-
.
解答:解:(Ⅰ)S1=a(S1-a1+1)
∴a1=a,.(1分)
当n≥2时,Sn=a(Sn-an+1),Sn-1=a(Sn-1-an-1+1),
两式相减得:an=a•an-1,
(a≠0,n≥2)即{an}是等比数列.
∴an=a•an-1=an;(4分)
(Ⅱ)由(Ⅰ)知a≠1,
,
,
若{bn}为等比数列,则有b22=b1b3,
而b1=2a2,b2=a3(2a+1),b3=a4(2a2+a+1)(6分)
故[a3(2a+1)]2=2a2•a4(2a2+a+1),解得
,(7分)
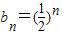
再将a=
代入得bn=(
)n成立,所以a=
.(8分)
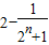
(Ⅲ)证明:由(Ⅱ)知
,
所以
=
=
(10分)
所以
Tn=c1+c2++cn
+(2-
)
=
(12分)
点评:本题考查数列知识的综合应用,解题时要认真审题,仔细解答.
(Ⅱ)由题意知a≠1,
(Ⅲ)证明:由题意知
解答:解:(Ⅰ)S1=a(S1-a1+1)
∴a1=a,.(1分)
当n≥2时,Sn=a(Sn-an+1),Sn-1=a(Sn-1-an-1+1),
两式相减得:an=a•an-1,
(a≠0,n≥2)即{an}是等比数列.
∴an=a•an-1=an;(4分)
(Ⅱ)由(Ⅰ)知a≠1,
若{bn}为等比数列,则有b22=b1b3,
而b1=2a2,b2=a3(2a+1),b3=a4(2a2+a+1)(6分)
故[a3(2a+1)]2=2a2•a4(2a2+a+1),解得
再将a=
(Ⅲ)证明:由(Ⅱ)知
所以
所以
Tn=c1+c2++cn
=
点评:本题考查数列知识的综合应用,解题时要认真审题,仔细解答.
练习册系列答案
相关题目
已知数列{an}的前n项和Sn=an2+bn(a、b∈R),且S25=100,则a12+a14等于( )
| A、16 | B、8 | C、4 | D、不确定 |