题目内容
设数列{an}的前n项和为Sn,对任意的正整数n,都有an=5Sn+1成立,记
.
(I)求数列{bn}的通项公式;
(II)记
,求数列{cn}的前n项和为Tn
(I)求数列{bn}的通项公式;
(II)记
(I)∵an=5Sn+1,∴当n=1时,a1=5a1+1,∴
,
当n≥2时,an=5Sn+1,an﹣1=5Sn﹣1+1,两式相减,an﹣an﹣1=5an,即
,
∴数列{an}成等比数列,其首项
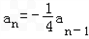
an﹣1,
∴数列{an}成等比数列,其首项a1=﹣
,公比是q=﹣
,
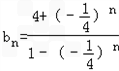
∴
,∴
.
(Ⅱ)由(Ⅰ)知
,
,
∴
,
∴
=
.
当n≥2时,an=5Sn+1,an﹣1=5Sn﹣1+1,两式相减,an﹣an﹣1=5an,即
∴数列{an}成等比数列,其首项
∴数列{an}成等比数列,其首项a1=﹣
∴
(Ⅱ)由(Ⅰ)知
∴
∴
练习册系列答案
相关题目