题目内容
数列
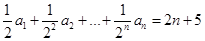
满足
,则
.
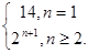
【答案】
![]()
【解析】
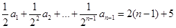
试题分析:这类问题类似于
的问题处理方法,在
中用
代换
得
(
),两式相减得
,
,又
,即
,故![]()
.
考点:数列的通项公式.
练习册系列答案
相关题目
题目内容
数列
满足
,则
.
![]()
【解析】
试题分析:这类问题类似于
的问题处理方法,在
中用
代换
得
(
),两式相减得
,
,又
,即
,故![]()
.
考点:数列的通项公式.