搜索
题目内容
已知三个实数a、b、c成等差数列且它们的和为12,又a+2、b+2、c+5成等比数列,求出这三个实数a、b、c。
试题答案
相关练习册答案
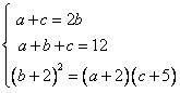
解:由题意,得
,化简,得
,
解得:
或
。
练习册系列答案
黄冈经典阅读系列答案
文言文课外阅读特训系列答案
轻松阅读训练系列答案
南大教辅初中英语任务型阅读与首字母填空系列答案
初中英语听力与阅读系列答案
领航英语阅读理解与完形填空系列答案
英语拓展听力与阅读系列答案
阅读组合突破系列答案
初中英语阅读系列答案
全程探究阅读系列答案
相关题目
已知三个实数a,b,c成等比数列,且a+b+c=m(m是正常数),则b的取值范围为
[-m,0)∪(0,
m
3
]
[-m,0)∪(0,
m
3
]
.
已知三个实数a、b、c成等差数列,且它们的和为12,又a+2、b+2、c+5成等比数列,求a、b、c的值.
已知三个实数a、b、c成等差数列,且它们的和为12,又a+2、b+2、c+5成等比数列,求a、b、c的值。
已知三个实数a、b、c成等差数列,且它们的和为12,又a+2、b+2、c+5成等比数列,求a、b、c的值。
已知三个实数a,b,c成等比数列,且a+b+c=m(m是正常数),则b的取值范围为
.
关 闭
试题分类
高中
数学
英语
物理
化学
生物
地理
初中
数学
英语
物理
化学
生物
地理
小学
数学
英语
其他
阅读理解答案
已回答习题
未回答习题
题目汇总
试卷汇总
练习册解析答案