题目内容
已知函数f(x)=|ax-2|+blnx(x>0,实数a,b为常数).(1)若a=1,f(x)在(0,+∞)上是单调增函数,求b的取值范围;
(2)若a≥2,b=1,求方程
【答案】分析:(1)先去掉绝对值转化为分段函数,每一段用导数法研究,因为是增函数,则导数大于等于零恒成立,最后每一段的结果取交集.
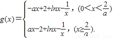
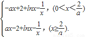
(2)先构造g(x)=|ax-2|+lnx-
,即g(x)=
,每一段再用导数法研究.
解答:解:(1)
①当0<x<2时,f(x)=-x+2+blnx,f′(x)=-1+
.
由条件,得
≥0恒成立,即b≥x恒成立.
∴b≥2
②当x≥2时,f(x)=x-2+blnx,f'(x)=1+
.
由条件,得
≥0恒成立,即b≥-x恒成立
∴b≥-2
∵f(x)的图象在(0,+∞)不间断,
综合①,②得b的取值范围是b≥2.
(2)令
,即
当
时,
,
,
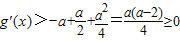
∵
,∴
,则
即g'(x)>0,∴g(x)在
上是单调增函数.
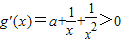
当
时,
,
∴g(x)在
上是单调增函数.
∵g(x)的图象在(0,+∞)上不间断,
∴g(x)在(0,+∞)上是单调增函数.
∵
,而a≥2,∴
,则
.g(1)=|a-2|-1=a-3
①当a≥3时,
∵g(1)≥0
,∴g(x)=0在(0,1]上有惟一解.
即方程
解的个数为1个.
②当2≤a<3时,
∵g(1)<0,
∴g(x)=0在(0,1]上无解.
即方程
解的个数为0个.
点评:本题主要考查函数的单调性与最值,一般来讲,给出解析式的,解决的方法往往是基本函数法或导数法,抽象函数的单调性和最值,往往用单调性的定义解决.
(2)先构造g(x)=|ax-2|+lnx-
解答:解:(1)
①当0<x<2时,f(x)=-x+2+blnx,f′(x)=-1+
由条件,得
∴b≥2
②当x≥2时,f(x)=x-2+blnx,f'(x)=1+
由条件,得
∴b≥-2
∵f(x)的图象在(0,+∞)不间断,
综合①,②得b的取值范围是b≥2.
(2)令
当
∵
即g'(x)>0,∴g(x)在
当
∴g(x)在
∵g(x)的图象在(0,+∞)上不间断,
∴g(x)在(0,+∞)上是单调增函数.
∵
①当a≥3时,
∵g(1)≥0
,∴g(x)=0在(0,1]上有惟一解.
即方程
②当2≤a<3时,
∵g(1)<0,
∴g(x)=0在(0,1]上无解.
即方程
点评:本题主要考查函数的单调性与最值,一般来讲,给出解析式的,解决的方法往往是基本函数法或导数法,抽象函数的单调性和最值,往往用单调性的定义解决.
练习册系列答案
相关题目
已知函数f(x)=x2-bx的图象在点A(1,f(1))处的切线l与直线3x-y+2=0平行,若数列{
}的前n项和为Sn,则S2010的值为( )
| 1 |
| f(n) |
A、
| ||
B、
| ||
C、
| ||
D、
|