题目内容
点(1,-1)到直线x-y+1=0的距离是( )A.
B.
C.
D.
【答案】分析:应用到直线的距离公式直接求解即可.
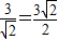
解答:解:点(1,-1)到直线x-y+1=0的距离是:
=
故选D.
点评:本题考查点到直线的距离公式,是基础题.
解答:解:点(1,-1)到直线x-y+1=0的距离是:
故选D.
点评:本题考查点到直线的距离公式,是基础题.
练习册系列答案
相关题目
点(1,1)到直线ax+y-3=0的最大距离为( )
| A、1 | ||
| B、2 | ||
C、
| ||
D、
|