题目内容
已知函数f(x)=2x+alnx。
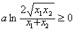
(1)若a<0,证明:对于任意的两个正数x1,x2,总有
成立;
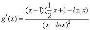
(2)若对任意的x∈[1,e],不等式:f(x)≤(a+3)x-
恒成立,求a的取值范围。
(1)若a<0,证明:对于任意的两个正数x1,x2,总有
(2)若对任意的x∈[1,e],不等式:f(x)≤(a+3)x-
解:(1)
而x1+x2≥2
又因为a<0
所以
即
成立。
(2)由
恒成立
即只要
成立
又x∈[1,e],易知

令

令

h(x) min=h(2)=2-ln2>0,
∴ g'(x)>0
所以g(x)在x∈[1,e]上为增函数

即
。
而x1+x2≥2
又因为a<0
所以
即
(2)由
即只要
又x∈[1,e],易知
令
令
h(x) min=h(2)=2-ln2>0,
∴ g'(x)>0
所以g(x)在x∈[1,e]上为增函数
即
练习册系列答案
相关题目