题目内容
已知函数f(x)=(x-a)2+(x-b)2+(x-c)2+
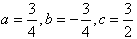
(a,b,c为实数)的最小值为m,若a-b+2c=3,求m的最小值。
解:因为


所以
时f(x)取最小值
即m=
因为a-b+2c=3,由柯西不等式得

所以
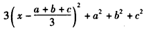
当且仅当
即
时等号成立,
所以m的最小值为
。
所以
即m=
因为a-b+2c=3,由柯西不等式得
所以
当且仅当
即
所以m的最小值为
练习册系列答案
相关题目
已知函数f(x)=x2-bx的图象在点A(1,f(1))处的切线l与直线3x-y+2=0平行,若数列{
}的前n项和为Sn,则S2010的值为( )
| 1 |
| f(n) |
A、
| ||
B、
| ||
C、
| ||
D、
|