题目内容
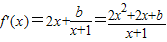
设函数f(x)=x2+bln(x+1),其中b≠0.(Ⅰ)当
(Ⅱ)求函数f(x)的极值点;
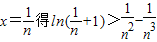
(Ⅲ)证明对任意的正整数n,不等式
【答案】分析:(Ⅰ)先求函数的定义域,然后求出函数f(x)的导函数,利用二次函数的性质判定导函数的符号,从而确定函数f(x)在定义域上的单调性;
(Ⅱ)需要分类讨论,由(Ⅰ)可知分类标准为b≥
,0<b<
,b≤0或f'(x)<0.参数取某些特定值时,可只管作出判断,单列为一类;不能作出直观判断的,再分为一类,用通法解决,另外要注意由f'(x)=0求得的根不一定就是极值点,需要判断在该点两侧的异号性后才能称为“极值点”.
(Ⅲ)先构造函数h(x)=x3-x2+ln(x+1),然后研究h(x)在[0,+∞)上的单调性,求出函数h(x)的最小值,从而得到ln(x+1)>x2-x3,最后令
,即可证得结论.
解答:解:(Ⅰ)函数f(x)=x2+bln(x+1)的定义域在(-1,+∞)

令g(x)=2x2+2x+b,则g(x)在
上递增,在
上递减,
g(x)=2x2+2x+b>0在(-1,+∞)上恒成立,
所以f'(x)>0即当
,函数f(x)在定义域(-1,+∞)上单调递增.
(Ⅱ)(1)由(Ⅰ)知当
时函数f(x)无极值点
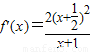
(2)当
时,
,
∴
,
∴
时,函数f(x)在(-1,+∞)上无极值点
(3)当
时,解f'(x)=0得两个不同解
当b<0时,
,
∴x1∈(-∞,-1),x2∈(-1,+∞),此时f(x)在(-1,+∞)上有唯一的极小值点
当
时,x1,x2∈(-1,+∞)f'(x)在(-1,x1),(x2,+∞)都大于0,
f'(x)在(x1,x2)上小于0,此时f(x)有一个极大值点
和一个极小值点
综上可知,b<0,时,f(x)在(-1,+∞)上有唯一的极小值点
时,f(x)有一个极大值点
和一个极小值点
时,函数f(x)在(-1,+∞)上无极值点.
(Ⅲ)当b=-1时,f(x)=x2-ln(x+1).令
上恒正
∴h(x)在[0,+∞)上单调递增,
当x∈(0,+∞)时,恒有h(x)>h(0)=0
即当x∈(0,+∞)时,有x3-x2+ln(x+1)>0,ln(x+1)>x2-x3,对任意正整数n,取
点评:本题主要考查了函数的单调性,以及导数的应用和不等式的证明方法,属于中档题.
(Ⅱ)需要分类讨论,由(Ⅰ)可知分类标准为b≥
(Ⅲ)先构造函数h(x)=x3-x2+ln(x+1),然后研究h(x)在[0,+∞)上的单调性,求出函数h(x)的最小值,从而得到ln(x+1)>x2-x3,最后令
解答:解:(Ⅰ)函数f(x)=x2+bln(x+1)的定义域在(-1,+∞)
令g(x)=2x2+2x+b,则g(x)在
g(x)=2x2+2x+b>0在(-1,+∞)上恒成立,
所以f'(x)>0即当
(Ⅱ)(1)由(Ⅰ)知当
(2)当
∴
∴
(3)当
当b<0时,
∴x1∈(-∞,-1),x2∈(-1,+∞),此时f(x)在(-1,+∞)上有唯一的极小值点
当
f'(x)在(x1,x2)上小于0,此时f(x)有一个极大值点
综上可知,b<0,时,f(x)在(-1,+∞)上有唯一的极小值点
(Ⅲ)当b=-1时,f(x)=x2-ln(x+1).令
∴h(x)在[0,+∞)上单调递增,
当x∈(0,+∞)时,恒有h(x)>h(0)=0
即当x∈(0,+∞)时,有x3-x2+ln(x+1)>0,ln(x+1)>x2-x3,对任意正整数n,取
点评:本题主要考查了函数的单调性,以及导数的应用和不等式的证明方法,属于中档题.
练习册系列答案
相关题目