题目内容

已知是边长为4的正三角形,内部两点,且满足,则的面积为         

 

【答案】

【解析】

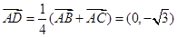
试题分析:以为原点,以的垂直平分线为轴建立如图所示坐标系,由三角形边长为4得,得,故,又由

,由图可知的面积.

考点:向量的运算,数形结合的思想.

 

练习册系列答案
相关题目

违法和不良信息举报电话:027-86699610 举报邮箱:58377363@163.com

精英家教网