题目内容
已知曲线C的极坐标方程为ρ=1,以极点为原点,极轴为x轴的正半轴建立直角坐标系,直线l的参数方程(Ⅰ)写出直线l的普通方程与曲线C的直角坐标方程;
(Ⅱ)设曲线C经过伸缩变换
【答案】分析:(I)由极坐标下的方程化为普通方程的公式即可将ρ=1化为普通方程;把直线l的参数方程中的参数消去即可得到直线l的普通方程.
(II)利用伸缩变换
得到曲线C′,再根据得到的曲线C'方程,利用三角代换即可把点M到直线l的距离的最小值转化为求三角函数类型的最值问题.
解答:解:(I)设点P(x,y)是曲线C上的任意一点,由ρ=
,ρ=1,可得x2+y2=1即为曲线C的直角坐标方程.
又已知直线l的参数方程
,可得直线l的普通方程为l:x+
y-6=0.
(Ⅱ) 设点P(x,y),是圆C上的任意一点,经过伸缩变换
得到点P'(x',y')
由
得
,把
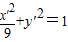
代入圆x2+y2=1得,
所以曲线C':
令M(3cosθ,sinθ),则点M到直线l的距离
d=
=
∴当
=0即
时,dmin=
,此时,3cosθ=
,sinθ=
∴当M(
,
)时,点M到直线l的距离的最小值为3-
.
点评:本题考查的是将极坐标方程及参数方程化为直角坐标系下的普通方程,及用参数法求代数式的最值.
(II)利用伸缩变换
解答:解:(I)设点P(x,y)是曲线C上的任意一点,由ρ=
又已知直线l的参数方程
(Ⅱ) 设点P(x,y),是圆C上的任意一点,经过伸缩变换
由
所以曲线C':
令M(3cosθ,sinθ),则点M到直线l的距离
d=
∴当
∴当M(
点评:本题考查的是将极坐标方程及参数方程化为直角坐标系下的普通方程,及用参数法求代数式的最值.
练习册系列答案
相关题目