题目内容
正项等比数列中, ,则 的值是( )
A.2 B.5 C.10 D.20
在正项等比数列中, ,则的值是 ( )
A. 10000 B. 1000 C. 100 D. 10
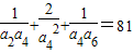
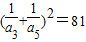
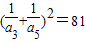
已知在正项等比数列中,则= ( )
A. B. C. D.2