题目内容

已知公差不为零的等差数列的前3项和,且成等比数列.

(1)求数列的通项公式及前n项的和

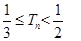
(2)设的前n项和,证明:

(3)对(2)问中的,若对一切恒成立,求实数的最小值.

 

【答案】

(1)(2)证明详见解析.(3)

【解析】

试题分析:(1)由已知可得可求得,然后根据公式求得.(2)首先求出的表达式,然后利用裂项法求出,最后根据的单调性求证不等式成立.(3)由可得然后利用函数的单调性求解即可.

试题解析:(1)        4分

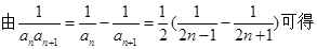
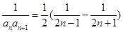
(2)       6分,

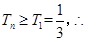
易知,,故   9分

(3),得则易知

   13分

考点:1.等差数列的性质;2.数列的前n项和以及数列的单调性;3.函数单调性.

 

练习册系列答案
相关题目

违法和不良信息举报电话:027-86699610 举报邮箱:58377363@163.com

精英家教网