题目内容

写出求的零点的一个算法.

答案:略
解析:

算法步骤如下:

(1)输入m的值;

(2)判断m为是否为零?若m=0,则输出“函数有一个零点,为x=1”;否则,执行下一步;

(3)判断D =14m是否小于零,若D0,则输出“函数没有零点”;否则,执行下一步;

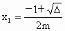
(4)判断D 是否等于0,若D =0,则输出“函数仅有一个零点,零点为”;否则,执行下一步;

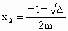
(5)D0,输出“函数有两个零点”.


练习册系列答案
相关题目

违法和不良信息举报电话:027-86699610 举报邮箱:58377363@163.com

精英家教网