题目内容
设a是实数,(1)试证明:对于任意a,f(x)在R为增函数;
(2)试确定a的值,使f(x)为奇函数.
【答案】分析:(1)设x1、x2∈R且x1<x2,用作差法,有f(x1)-f(x2)=
,结合指数函数的单调性分析可得f(x1)-f(x2)<0,可得f(x)的单调性且与a的值无关;
(2)根据题意,假设f(x)是奇函数,由奇函数的定义可得,f(-x)=-f(x),即a-
=-(a-
),对其变形,解可得a的值,即可得答案.
解答:解:(1)证明:设x1、x2∈R且x1<x2,
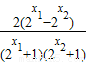
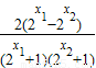
f(x1)-f(x2)=(a-
)-(a-
)=
-
=
,
又由y=2x在R上为增函数,则
>0,
>0,
由x1<x2,可得
-
<0,
则f(x1)-f(x2)<0,
故f(x)为增函数,与a的值无关,
即对于任意a,f(x)在R为增函数;
(2)若f(x)为奇函数,且其定义域为R,
必有有f(-x)=-f(x),
即a-
=-(a-
),变形可得2a=
=2,
解可得,a=1,
即当a=1时,f(x)为奇函数.
点评:本题考查函数奇偶性、单调性的判断与应用,注意(1)中要体现f(x)的单调性与a的值无关.
(2)根据题意,假设f(x)是奇函数,由奇函数的定义可得,f(-x)=-f(x),即a-
解答:解:(1)证明:设x1、x2∈R且x1<x2,
f(x1)-f(x2)=(a-
又由y=2x在R上为增函数,则
由x1<x2,可得
则f(x1)-f(x2)<0,
故f(x)为增函数,与a的值无关,
即对于任意a,f(x)在R为增函数;
(2)若f(x)为奇函数,且其定义域为R,
必有有f(-x)=-f(x),
即a-
解可得,a=1,
即当a=1时,f(x)为奇函数.
点评:本题考查函数奇偶性、单调性的判断与应用,注意(1)中要体现f(x)的单调性与a的值无关.
练习册系列答案
相关题目