题目内容
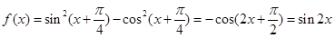
函数f(x)=sin2(x+
)-sin2(x-
),
x
(
,
)的值域是_______。
【答案】
![]()
【解析】
试题分析:
.因为
.
所以
.
考点:三角恒等变换及三角函数的值域.
练习册系列答案
相关题目
已知函数f(x)=sin(ωx+
)(x∈R,ω>0)的最小正周期为π,为了得到函数g(x)=cosωx的图象,只要将y=f(x)的图象( )
| π |
| 4 |
A、向左平移
| ||
B、向右平移
| ||
C、向左平移
| ||
D、向右平移
|