搜索
题目内容
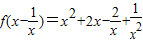
已知
,则f(x)=
.
试题答案
相关练习册答案
【答案】
分析:
把式子分组,然后凑完全平方式,最后把原来的
换为x即可.
解答:
解:因为
=
=
所以f(x)=x
2
+2x+2.
故答案为:x
2
+2x+2.
点评:
本题主要考查凑完全平方式,拼凑法求函数解析式.
练习册系列答案
暑假作业内蒙古人民出版社系列答案
暑假作业与生活陕西人民教育出版社系列答案
快乐暑假河北少年儿童出版社系列答案
新思维假期作业暑假吉林大学出版社系列答案
蓝天教育暑假优化学习系列答案
世超金典假期乐园暑假系列答案
开心假期暑假作业武汉出版社系列答案
鸿图图书暑假作业假期作业吉林大学出版社系列答案
假日时光暑假作业阳光出版社系列答案
暑假乐园武汉大学出版社系列答案
相关题目
已知
,则f(x)=
.
已知
,则f(x)=
.
已知
,则f(x)的定义域是( )
A.[-2,2]
B.[0,2]
C.[0,1)∪(1,2]
D.
已知
,则f(x)的定义域是( )
A.[-2,2]
B.[0,2]
C.[0,1)∪(1,2]
D.
关 闭
试题分类
高中
数学
英语
物理
化学
生物
地理
初中
数学
英语
物理
化学
生物
地理
小学
数学
英语
其他
阅读理解答案
已回答习题
未回答习题
题目汇总
试卷汇总
练习册解析答案