题目内容
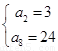
在公比大于1的等比数列
中,
,
,则
( )
A.96 B.64 C.72 D.48
【答案】
A
【解析】
试题分析:∵
,
,∴
或
,又∵公比大于1,
∴
,∴
即
,∴
.
考点:1.等比数列的性质;2.等比数列的通项公式.
练习册系列答案
相关题目
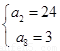
题目内容
在公比大于1的等比数列
中,
,
,则
( )
A.96 B.64 C.72 D.48
A
【解析】
试题分析:∵
,
,∴
或
,又∵公比大于1,
∴
,∴
即
,∴
.
考点:1.等比数列的性质;2.等比数列的通项公式.