题目内容
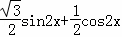
已知函数f(x)=
.
(Ⅰ)求f(x)的单调区间;
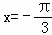
(Ⅱ)求f(x)在区间[
]上的最大值和最小值.
考点:
二倍角的正弦;二倍角的余弦;复合三角函数的单调性.
专题:
三角函数的求值.
分析:
本题要先利用三角恒等变换公式,化简整理后,将f(x)=
变为f(x)=![]()
(I)由正弦函数的单调性,令相位属于正弦函数的增区间和减区间,解出x的取值范围,即得到函数的递增区间和递减区间;
(II)先由x的范围得出
,然后根据正弦函数的单调性即可得出答案.
解答:
解:(Ⅰ)
=
…(2分)=
…(3分)
由
(k∈Z)得
(k∈Z).
由
(k∈Z)得
(k∈Z).…(6分)
所以 f(x)的单调递增区间为
;单调递减区间为
.
(Ⅱ)因为
,
所以
.…(8分)
所以 当
,即
时,f(x)取得最大值
;当
,即
时,f(x)取得最小值﹣1.…(11分)
点评:
本题是三角函数中的常规题型,近几年高考中这种类型也比较常见,其步骤是先化简整理,再由公式进行求解,求单调区间,求最值等,此类题掌握好解题规律即可顺利解出,中档题.
练习册系列答案
相关题目
已知函数f(x)=x2-bx的图象在点A(1,f(1))处的切线l与直线3x-y+2=0平行,若数列{
}的前n项和为Sn,则S2010的值为( )
| 1 |
| f(n) |
A、
| ||
B、
| ||
C、
| ||
D、
|