题目内容

设数列{an}的前n项和为Sn,已知Sn=2an﹣2n+1(n∈N*).
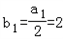
(1)设bn=,求证:数列{bn}是等差数列:
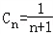
(2)设数列{Cn}满足Cn=(n∈N*),Tn=c1c2+c2c3+c3c4+…cncn+1,若对一切n∈N*不等式2mTn>Cn恒成立,实数m的取值范围.

解:(1)当n=1时:S1=a1=2a1﹣21+1
解得a=4当n≥2时,由Sn=2an﹣2n+1 …①
且Sn﹣1=2an﹣1﹣2n …②
①﹣②得:an=2an﹣2an﹣1﹣2n,
有:an=2an﹣1+2n得
∴bn﹣bn﹣1=1,
故数列{bn}是以2为首项,以1为公差的等差数列.
(2)由(1)得:bn=1+2(n﹣1)=2n﹣1,即an=(n+1)2n


,由2mTn>cn,
得:,得
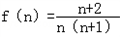
又令

=
故f(n)在n∈N*时单调递减,
∴得m

练习册系列答案
相关题目

违法和不良信息举报电话:027-86699610 举报邮箱:58377363@163.com

精英家教网