题目内容
已知函数
.
(Ⅰ)若函数
的值域为
.求关于
的不等式
的解集;
(Ⅱ)当
时,
为常数,且
,
,求
的最小值.
【答案】
(Ⅰ)
;(Ⅱ)
.
【解析】
试题分析:(Ⅰ)由函数
的值域为
,则该二次函数与
轴有一个交点,即
,所以
,所以
,则
,则
,化简得
,解得
,所以不等式的解集为
.(Ⅱ)当
时,
,所以
,而
,
,所以
,接着利用导数求
的最小值,令
,则
,当
时,
,
单调增,当
时,
,
单调减,最小值需要比较
的大小,而![]()
,
的最小值为
.
试题解析:(Ⅰ)由值域为
,当
时有
,即
,
所以
,则![]()
则
,化简得
,解得![]()
所以不等式的解集为
.
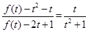
(Ⅱ)当
时,
,所以![]()
因为
,
,所以![]()
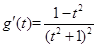
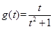
令
,则![]()
当
时,
,
单调增,当
时,
,
单调减,
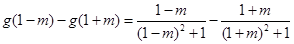
因为![]()
,所以![]()
所以
的最小值为
.
考点:1.函数与不等式的综合应用;2.利用导数求解函数的最值.
练习册系列答案
相关题目