题目内容
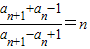
已知数列{an}满足
【答案】分析:由
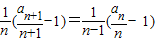
可得an+1+an-1=nan+1-nan+n,构造可得
即
为常数列,从而可求
解答:解:由
可得an+1+an-1=nan+1-nan+n
∴(1-n)an+1+(1+n)an=1+n
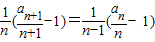
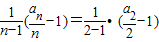
∴
=
×(n+1)
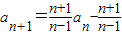
∴
=
=
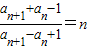
∴
∴
∴
为常数列
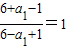
而
=2
an=[2(n-1)+1]n=2n2-n
当n=1时,
可得a1=1适合上式
故答案为:2n2-n
点评:本题目主要考查了利用数列的递推公式求解数列的通项公式,解题得关键是利用递推公式构造特殊数列.
解答:解:由
∴(1-n)an+1+(1+n)an=1+n
∴
∴
∴
∴
∴
而
an=[2(n-1)+1]n=2n2-n
当n=1时,
故答案为:2n2-n
点评:本题目主要考查了利用数列的递推公式求解数列的通项公式,解题得关键是利用递推公式构造特殊数列.
练习册系列答案
相关题目