题目内容
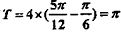
已知函数f(x)=Asin(ωx+ψ)(A>0,ω<0,|ψ|<
)的部分图象如图所示,
(Ⅰ)求函数f(x)的解析式;
(Ⅱ)当g(x)=f(x)-2cos2x时,如何由函数y=sinx的图象通过适当的变换得到函数y=g(x)的图象,写出变换过程。
(Ⅰ)求函数f(x)的解析式;
(Ⅱ)当g(x)=f(x)-2cos2x时,如何由函数y=sinx的图象通过适当的变换得到函数y=g(x)的图象,写出变换过程。
解:(Ⅰ)由图象知A=2,
f(x)的最小正周期
,∴
,
将点
代入f(x)的解析式得
,
又|ψ|<
,
∴ψ=
,
故函数f(x)的解析式为
。
(Ⅱ)
,
变换如下:把y=sinx的图象向右平移
得到
的图象,再把
图象上所有点的横坐标缩短为原来的
,纵坐标不变得到
的图象;再把
的图象上所有点的纵坐标扩大为原来的2倍,横坐标不变得到
的图象。
f(x)的最小正周期
将点
又|ψ|<
∴ψ=
故函数f(x)的解析式为
(Ⅱ)
变换如下:把y=sinx的图象向右平移
练习册系列答案
相关题目
已知函数f(x)=a-
,若f(x)为奇函数,则a=( )
| 1 |
| 2x+1 |
A、
| ||
| B、2 | ||
C、
| ||
| D、3 |