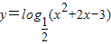
题目内容
函数A.[-1,+∞)
B.(-∞,-1]
C.(1,+∞)
D.(-∞,-3)
【答案】分析:先求出函数的定义域,然后将复合函数分解为内、外函数,分别讨论内外函数的单调性,进而根据复合函数单调性“同增异减”的原则,得到函数的单调递增区间.
解答:解:函数
的定义域为(-∞,-3)∪(1,+∞)
令t=x2+2x-3,则y=
∵y=
为减函数,t=x2+2x-3在(-∞,-3)上为减函数;在(1,+∞)为增函数
∴函数
的单调递增区间是为(-∞,-3).
故选D
点评:本小题主要考查对数函数单调性的应用、二次函数单调性的应用、不等式的解法等基础知识,属于中档题.
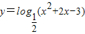
解答:解:函数
令t=x2+2x-3,则y=
∵y=
∴函数
故选D
点评:本小题主要考查对数函数单调性的应用、二次函数单调性的应用、不等式的解法等基础知识,属于中档题.
练习册系列答案
相关题目