题目内容
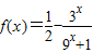
已知函数y=f(x)是R上的奇函数,当x≤0时,(1)判断并证明y=f(x)在(-∞,0)上的单调性;
(2)求y=f(x)的值域;
(3)求不等式
【答案】分析:(1)利用函数单调性的定义,设x1<x2<0,通过作差,变形,判号证明f(x1)<f(x2),即可
(2)当x≤0时f(x)=
,运用均值定理,先求出当x≤0时函数f(x)的值域,再利用对称性得y=f(x)的值域
(3)由(2)知,不等式
?
,将f(x)中的3x看成整体,转化为一元二次方程求解,再解指数不等式即可得所求解集
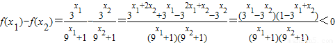
解答:解:(1)设x1<x2<0,则
,
∵
,
∴f(x1)<f(x2),即y=f(x)在(-∞,0)上是增函数.
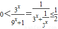
(2)∵
,
∴当x≤0时,
;
∵当x>0时,
.
综上得 y=f(x)的值域为
.
(3)∵
,
又∵
,∴
,此时
单调递增,
∵
,∴
时,x>1⇒3x>3.
令
,
即
,
∴不等式
的解集是
.
点评:本题考查了函数奇偶性与单调性的定义及运用,利用函数的单调性和对称性解不等式、求值域的方法,解题时要特别利用对称性,提高解题速度
(2)当x≤0时f(x)=
(3)由(2)知,不等式
解答:解:(1)设x1<x2<0,则
∵
∴f(x1)<f(x2),即y=f(x)在(-∞,0)上是增函数.
(2)∵
∴当x≤0时,
∵当x>0时,
综上得 y=f(x)的值域为
(3)∵
又∵
∵
令
即
∴不等式
点评:本题考查了函数奇偶性与单调性的定义及运用,利用函数的单调性和对称性解不等式、求值域的方法,解题时要特别利用对称性,提高解题速度
练习册系列答案
相关题目