题目内容
(本小题满分12分)
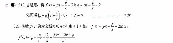
设函数
,且
(为自然对数的底数).
(1)求实数
与
的关系;
(2)若函数
在其定义域内为单调函数,求实数
的取值范围;
(3)设
,若存在
,使得
成立,求实数
的取值范围.
答案
![]()
令
,要使
在其定义域
内为单调函数,只需
在
内满足
或
恒成立.
(1)当
时,
,
.
在
内为单调减函数,故
符合条件. ……………………………3分
(2)当
时,
.只需
,即
时
,
此时.
在
内为单调增函数,故
符合条件. …………5分
(3)当
时,
.只需
,此时.
在
内为单调减函数,故
符合条件.
综上可得,
或
为所求. ……………………………………………………6分
(3)
在
上是减函数,
时,
;
时,
.
即
.
(1)当
时,由(1)知,
在
上递减,
,不合题意. 8分
(2)当
时,由
知,![]()
.
.
由(Ⅱ)知,当
时,
单调递增,
,不合题意. ………10分
(3)当
时,由(Ⅱ)知
在
上递增,
,
又
在在
上递减,
.
即
,
.综上,的取值范围是
.……12分
练习册系列答案
相关题目