题目内容

某人5次上班途中所花的时间(单位:分钟)分别为x,y,10,11,9.已知这组数据的平均数为10,方差为2,则的值为          .

 

【答案】

4

【解析】

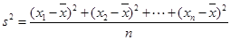
试题分析:一列数

平均数,方差为,把已知的数代入平均数公式可得,代入方差公式得,由此有,从而

考点:平均数,方差.

 

练习册系列答案
相关题目

违法和不良信息举报电话:027-86699610 举报邮箱:58377363@163.com

精英家教网