题目内容
已知函数f(x)=2x-(1)若f(x)=2+
(2)判断f(x)的单调性,并证明;
(3)若2tf(2t)+mf(t)≥0对于任意实数t∈[1,2]恒成立,求实数m的取值范围.
【答案】分析:(1)由题意可得 2x-
=2+
,即 22x -2•2x-3=0,解得 2x 的值,可得x的值.
(2)函数f(x)的定义域为R,任意取x2>x1,化简f(x2)-f(x1)的解析式,可得它的符号为正号,
即 f(x2)>f(x1),可得函数f(x)在R上是增函数.
(3)当t∈[1,2],由题意可得m≥-(4t+1).求得-(4t+1)的最大值为-5,从而求得m的范围.
解答:解:(1)∵f(x)=2x-
=2+
,∴22x -2•2x-3=0,解得 2x=3,或 2x=-1 (舍去),
故 x=log23.
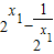
(2)函数f(x)的定义域为R,任意取x2>x1,则 f(x2)-f(x1)=
-(
)=(
)(1+
).
由题设可得,(
)>0,(1+
)>0,∴f(x2)-f(x1)>0,即 f(x2)>f(x1),
故函数f(x)在R上是增函数.
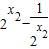
(3)当t∈[1,2],2tf(2t)+mf(t)≥0恒成立,即2t(22t-
)+m(2t-
)≥0.
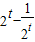
由于
>0,∴2t(2t+
)+m≥0,故 m≥-(4t+1).
由于-(4t+1)的最大值为-5,故有m≥-5,即m的范围是[-5,+∞).
点评:本题主要考查函数的单调性的判断和证明,函数的恒成立问题,属于中档题.
(2)函数f(x)的定义域为R,任意取x2>x1,化简f(x2)-f(x1)的解析式,可得它的符号为正号,
即 f(x2)>f(x1),可得函数f(x)在R上是增函数.
(3)当t∈[1,2],由题意可得m≥-(4t+1).求得-(4t+1)的最大值为-5,从而求得m的范围.
解答:解:(1)∵f(x)=2x-
故 x=log23.
(2)函数f(x)的定义域为R,任意取x2>x1,则 f(x2)-f(x1)=
由题设可得,(
故函数f(x)在R上是增函数.
(3)当t∈[1,2],2tf(2t)+mf(t)≥0恒成立,即2t(22t-
由于
由于-(4t+1)的最大值为-5,故有m≥-5,即m的范围是[-5,+∞).
点评:本题主要考查函数的单调性的判断和证明,函数的恒成立问题,属于中档题.
练习册系列答案
相关题目