题目内容
Rt△ABC中,AB=3,BC=4,AC=5,将三角形绕直角边AB旋转一周所成的几何体的体积为 .
【答案】分析:Rt△ABC中,AB=3,BC=4,AC=5,将三角形绕直角边AB旋转一周所成的几何体是圆锥,推出底面半径和高,即可求出几何体的体积.
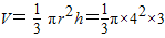
解答:解:旋转一周所成的几何体是底面以BC为半径,以AB为高的圆锥,
所以圆锥的体积:
=16π.
故答案为:16π
点评:本题是基础题,考查旋转体的体积,正确推测几何体的图形形状,求出有关数据,是本题的关键.
解答:解:旋转一周所成的几何体是底面以BC为半径,以AB为高的圆锥,
所以圆锥的体积:
故答案为:16π
点评:本题是基础题,考查旋转体的体积,正确推测几何体的图形形状,求出有关数据,是本题的关键.
练习册系列答案
相关题目