题目内容
某国采用养老储备金制度,公民在就业的第一年就交纳养老储备金,数目为a1,以后每年交纳的数目均比上一年增加d(d>0),因此,历年所交纳的储务金数目a1,a2,…是一个公差为d的等差数列,与此同时,国家给予优惠的计息政策,不仅采用固定利率,而且计算复利。这就是说,如果固定年利率为r(r>0),那么,在第n年末,第一年所交纳的储备金就变为a1(1+r)a-1,第二年所交纳的储备金就变为a2(1+r)a-2,……,以Tn表示到第n年末所累计的储备金总额。
(1)写出Tn与Tn-1(n≥2)的递推关系式;
(2)求证:Tn=An+Bn,其中{An}是一个等比数列,{Bn}是一个等差数列。
(1)写出Tn与Tn-1(n≥2)的递推关系式;
(2)求证:Tn=An+Bn,其中{An}是一个等比数列,{Bn}是一个等差数列。
解:(1)我们有
。
(2)
,对
反复使用上述关系式,得

①
在①式两端同乘
,得
②
②-①,得


即
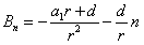
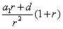
如果记
,
则
其中
是以
为首项,以
为公比的等比数列;
是以
为首项,
为公差的等差数列。
(2)
在①式两端同乘
②-①,得
即
如果记
则
其中
练习册系列答案
相关题目