题目内容
【答案】分析:按照程序框图的流程写出前几次循环的结果,同时判断是否满足判断框中的条件,直到不满足条件执行输出s,利用等比数列的前n项和公式求出s.
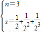
解答:解:经过第一次循环得到
经过第二次循环得到
经过第三次循环得到
经过第四次循环得到
此时不满足判断框中的条件,执行输出
s=
=
故答案为:
点评:本题考查解决程序框图中的循环结构时常采用写出前几次循环的结果找规律、考查等比数列的前n项和公式.
解答:解:经过第一次循环得到
经过第二次循环得到
经过第三次循环得到
经过第四次循环得到
s=
故答案为:
点评:本题考查解决程序框图中的循环结构时常采用写出前几次循环的结果找规律、考查等比数列的前n项和公式.
练习册系列答案
相关题目
执行程序框图,若p=4,则输出的S等于( )

A、
| ||
B、
| ||
C、
| ||
D、
|