题目内容
已知函数f(x)=(Ⅰ)求ω的取值范围;
(Ⅱ)在△ABC中,a,b,c分别是角A,B,C的对边,a=
【答案】分析:(I)利用向量的数量积的坐标表示及二倍角公式对函数整理可得,
,根据周期公式可得
,根据正弦函数的性质相邻两对称轴间的距离即为
,从而有
代入可求ω的取值范围.
(Ⅱ)由(Ⅰ)可知ω的最大值为1,
由f(A)=1可得,
结合已知可得
,
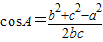
由余弦定理知
可得b2+c2-bc=3,又b+c=3联立方程可求b,c,代入面积公式可求
也可用配方法∵
求得bc=2,直接代入面积公式可求
解答:解:(Ⅰ)f(x)=
cosωx•sinωx=cos2ωx+
sin2ωx=
∵ω>0
∴函数f(x)的周期T=
,由题意可知
,
解得0<ω≤1,即ω的取值范围是ω|0<ω≤1
(Ⅱ)由(Ⅰ)可知ω的最大值为1,
∴
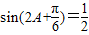
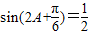
∵f(A)=1
∴
而
π
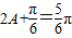
∴2A+
π
∴A=
由余弦定理知cosA=
∴b2+c2-bc=3,又b+c=3
联立解得
∴S△ABC=
(或用配方法∵
∴bc=2
∴
.
点评:本题综合考查了向量的数量积的坐标表示,由函数的部分图象的性质求解函数的解析式,正弦函数的周期公式,由三角函数值求解角,余弦定理及三角形的面积公式等知识的综合,综合的知识比较多,解法灵活,要求考生熟练掌握基础知识并能灵活运用知识进行解题.
(Ⅱ)由(Ⅰ)可知ω的最大值为1,
也可用配方法∵
解答:解:(Ⅰ)f(x)=
cosωx•sinωx=cos2ωx+
∵ω>0
∴函数f(x)的周期T=
解得0<ω≤1,即ω的取值范围是ω|0<ω≤1
(Ⅱ)由(Ⅰ)可知ω的最大值为1,
∴
∵f(A)=1
∴
而
∴2A+
∴A=
由余弦定理知cosA=
∴b2+c2-bc=3,又b+c=3
联立解得
∴S△ABC=
(或用配方法∵
∴bc=2
∴
点评:本题综合考查了向量的数量积的坐标表示,由函数的部分图象的性质求解函数的解析式,正弦函数的周期公式,由三角函数值求解角,余弦定理及三角形的面积公式等知识的综合,综合的知识比较多,解法灵活,要求考生熟练掌握基础知识并能灵活运用知识进行解题.
练习册系列答案
相关题目
已知函数f(x)=x2-bx的图象在点A(1,f(1))处的切线l与直线3x-y+2=0平行,若数列{
}的前n项和为Sn,则S2010的值为( )
| 1 |
| f(n) |
A、
| ||
B、
| ||
C、
| ||
D、
|