题目内容

直线为参数)被曲线所截的弦长为(  )

A.            B.              C.               D. 

 

【答案】

C

【解析】

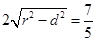
试题分析:直线为参数)化为普通方程:直线.∵曲线,展开为,∴,化为普通方程为,即,∴圆心.圆心C到直线距离,∴直线被圆所截的弦长=

故选C.

考点:1.参数方程与普通方程之间的互换;2.点到直线的距离公式.

 

练习册系列答案
相关题目

违法和不良信息举报电话:027-86699610 举报邮箱:58377363@163.com

精英家教网