题目内容
已知数列{an}的前n项和Sn=n2+3n+1,则通项an= .
【答案】分析:直接利用公式
可求出数列{an}的通项an.
解答:解:a1=S1=1+3+1=5,
an=Sn-Sn-1=(n2+3n+1)-[(n-1)2+3(n-1)1]=2n+2,
当n=1时,2n+2=4≠a1,
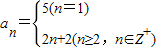
∴
.
故答案为:
.
点评:本题考查数列的性质和应用,解题时要注意公式的灵活运用,属于基础题.
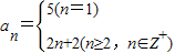
解答:解:a1=S1=1+3+1=5,
an=Sn-Sn-1=(n2+3n+1)-[(n-1)2+3(n-1)1]=2n+2,
当n=1时,2n+2=4≠a1,
∴
故答案为:
点评:本题考查数列的性质和应用,解题时要注意公式的灵活运用,属于基础题.
练习册系列答案
相关题目
已知数列{an}的前n项和Sn=an2+bn(a、b∈R),且S25=100,则a12+a14等于( )
| A、16 | B、8 | C、4 | D、不确定 |