题目内容

已知函数为常数,为自然对数的底)

(1)当时,求的单调区间;

(2)若函数上无零点,求的最小值;

(3)若对任意的,在上存在两个不同的使得成立,求的取值范围.

 

【答案】

(1)的减区间为,增区间为

(2)的最小值为

(3)的取值范围是.

【解析】

试题分析:(1)将代入函数的解析式,利用导数求出的单调递增区间和递减区间;(2)将函数上无零点的问题转化为直线与曲线在区间上无交点,利用导数确定函数在区间上的图象,进而求出参数的取值范围,从而确定的最小值;(3)先研究函数上的单调性,然后再将题干中的条件进行适当转化,利用两个函数的最值或端点值进行分析,列出相应的不等式,从而求出的取值范围.

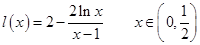
试题解析:(1)时,

    

的减区间为  增区间为              3分

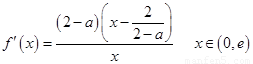
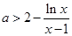
(2)因为上恒成立不可能

故要使上无零点,只要对任意的恒成立

时,                       5分

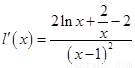
再令

    于是在为减函数

上恒成立

上为增函数

  在上恒成立

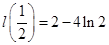
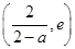
故要使恒成立,只要

若函数上无零点,的最小值为                        8分

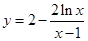
(3)

时,为增函数

时,为减函数

函数上的值域为                       9分

时,不合题意

时,

①                                      10分

此时,当变化时,的变化情况如下

0

+

最小值

时,

任意定的,在区间上存在两个不同的 

使得成立,

当且仅当满足下列条件

   ②

   ③                                         11分

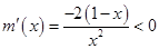
  令

时,  函数为增函数

时,  函数为减函数

所以在任取时有

即②式对恒成立                       13分

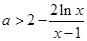
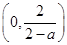
由③解得        ④

由①④ 当

对任意,在上存在两个不同的使成立

考点:1.函数的单调区间;2.函数的零点;3.函数的存在性问题

 

练习册系列答案
相关题目

违法和不良信息举报电话:027-86699610 举报邮箱:58377363@163.com

精英家教网