题目内容
设数列{an}满足a1=1,a2=
,an+2=
。
(1)令bn=an+1-an,求数列{bn}的通项公式;
(2)求数列{nan}的前n项和Sn(n∈N*)。
(1)令bn=an+1-an,求数列{bn}的通项公式;
(2)求数列{nan}的前n项和Sn(n∈N*)。
解:(1)∵
∴
是公比为
的等比数列,且
故
;
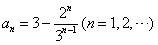
(2)由
得



注意到
可得
即
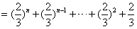
记数列
的前项和为Tn,则


两式相减得


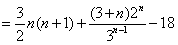
故
从而
。
∴
故
(2)由
注意到
可得
即
记数列
两式相减得
故
从而
练习册系列答案
相关题目
设数列{an}满足a1=1,a2+a4=6,且对任意n∈N*,函数f(x)=(an-an+1+an+2)x+an+1?cosx-an+2sinx满足f′(
)=0若cn=an+
,则数列{cn}的前n项和Sn为( )
| π |
| 2 |
| 1 |
| 2an |
A、
| ||||
B、
| ||||
C、
| ||||
D、
|