题目内容
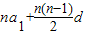
在等差数列{an}中,(Ⅰ)已知a1=
(Ⅱ)已知d=2,n=15,an=-10,求a1及Sn.
【答案】分析:(1)由求和公式可得关于n的方程,解之可得n,代入通项公式可得答案;(2)由an=a1+(n-1)d代入数据可得a1=-18,代入求和公式可得.
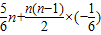
解答:解:(1)由题意可得Sn=
=
=-5,
整理可得n2-11n-60=0,
解之可得n=15,或n=-4(舍去),
an=a1+(n-1)d=1-
(2)由an=a1+(n-1)d代入数据可得
10=a1+14×2,故a1=-18,
故Sn=S15=18×15+
=480
点评:本题考查等差数列的通项公式和求和公式,属基础题.
解答:解:(1)由题意可得Sn=
=
整理可得n2-11n-60=0,
解之可得n=15,或n=-4(舍去),
an=a1+(n-1)d=1-
(2)由an=a1+(n-1)d代入数据可得
10=a1+14×2,故a1=-18,
故Sn=S15=18×15+
点评:本题考查等差数列的通项公式和求和公式,属基础题.
练习册系列答案
相关题目