题目内容
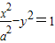
已知双曲线
【答案】分析:根据双曲线的渐近线方程的公式,结合题意得e=
•
=
,从而得到c=
,再由双曲线基本量的平方关系算出a值,即可得到该双曲线的方程.
解答:解:∵双曲线方程为
(a>0),
∴该双曲线的渐近线方程为y=
,
又∵双曲线一条渐近线为y=kx,∴k=
双曲线的离心率e=
k,即e=
•
∴
=
•
,得c=
,a=
=2
因此,双曲线方程为
故答案为:
点评:本题给出双曲线的渐近线和离心率的条件,求双曲线的方程,着重考查了双曲线的标准方程和简单几何性质等知识,属于基础题.
解答:解:∵双曲线方程为
∴该双曲线的渐近线方程为y=
又∵双曲线一条渐近线为y=kx,∴k=
双曲线的离心率e=
∴
因此,双曲线方程为
故答案为:
点评:本题给出双曲线的渐近线和离心率的条件,求双曲线的方程,着重考查了双曲线的标准方程和简单几何性质等知识,属于基础题.
练习册系列答案
相关题目