题目内容

(.(本小题满分12分)
已知点AB的坐标分别是(0,–1),(0,1),直线AMBM相交于点M,且它们的斜率之积为
(1)   求点M的轨迹C的方程;
(2)   若过点D(2,0)的直线l与(1)中的轨迹C交于不同的两点EFEDF之间),试求面积之比的取值范围(O为坐标原点).

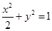
解:(1) 设点的坐标为
,∴.                             
整理,得),这就是动点M的轨迹方程.··········· 4分
(2) 解法一:由题意知直线的斜率存在,设的方程)①
将①代入,得(*)
,解得
由(*)式得
,则     ②    
,则,即
,且                     
由②得,

.              
 
解得 
∴△OBE与△OBF面积之比的取值范围是.………………12分
解法二:设,则
可得:
,将代入可得:


解得 .………12分

解析

练习册系列答案
相关题目

违法和不良信息举报电话:027-86699610 举报邮箱:58377363@163.com

精英家教网