题目内容
已知函数
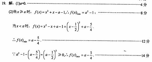
(1)写出能使成为偶函数的a的值;
(2)当时,求的最小值.
(1)写出函数的最小正周期和单调递增区间;
(2)若且,求的值
(1)写出如何由函数的图像变换得到的图像;
(2)在中,角所对的边分别是,若,求的取值范围
(8分)已知函数.
(1)写出它的振幅、周期、频率和初相;
(2)求这个函数的单调递减区间;
(3)求出使这个函数取得最大值时,自变量的取值集合,并写出最大值。
已知函数.
(1)写出该函数的单调区间;
(2)若函数恰有3个不同零点,求实数的取值范围;
(3)若对所有恒成立,求实数n的取值范围。
(本小题满分13分) 已知函数
(1)写出的单调区间;
(2)若,求相应的值。