题目内容
已知数列{an}满足:A.
B.
C.4
D.6
【答案】分析:根据数列递推式,确定数列{bn}是首项为-
,公比为
的等比数列,即可求得结论.
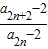
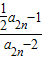
解答:解:由题意,
=
=
=
=
∵a1=1,∴a2=
,∴b1=a2-2=-
,
∴数列{bn}是首项为-
,公比为
的等比数列,
∴bn=-(
)n,
∴b3=
故选B.
点评:本题主要考查了利用递推关系求数列前几项,以及等比数列的定义及通项公式,属于基础题.
解答:解:由题意,
∵a1=1,∴a2=
∴数列{bn}是首项为-
∴bn=-(
∴b3=
故选B.
点评:本题主要考查了利用递推关系求数列前几项,以及等比数列的定义及通项公式,属于基础题.
练习册系列答案
相关题目