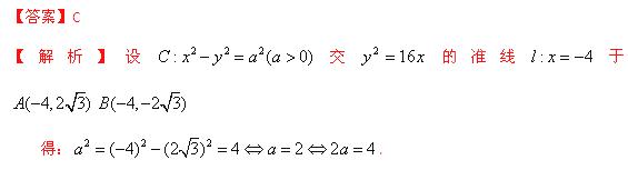
题目内容

等轴双曲线的中心在原点,焦点在轴上,与抛物线的准线交于两点,;则的实轴长为(      )

                                        

练习册系列答案
相关题目

违法和不良信息举报电话:027-86699610 举报邮箱:58377363@163.com

精英家教网