题目内容
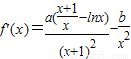
已知函数f(x)=(Ⅰ)求a、b的值;
(Ⅱ)如果当x>0,且x≠1时,f(x)>
【答案】分析:(I)求出函数的导数;利用切线方程求出切线的斜率及切点;利用函数在切点处的导数值为曲线切线的斜率及切点也在曲线上,列出方程组,求出a,b值.
(II)将不等式变形,构造新函数,求出新函数的导数,对参数k分类讨论,判断出导函数的符号,得到函数的单调性,求出函数的最值,求出参数k的范围.
解答:解:由题意f(1)=1,即切点坐标是(1,1)
(Ⅰ)
由于直线x+2y-3=0的斜率为
,且过点(1,1),故
即
解得a=1,b=1.
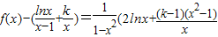
(Ⅱ)由(Ⅰ)知
,所以
).
考虑函数
(x>0),则
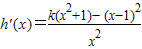
.
(i)设k≤0,由
知,当x≠1时,h′(x)<0.而h(1)=0,故
当x∈(0,1)时,h′(x)<0,可得
;
当x∈(1,+∞)时,h′(x)<0,可得
h(x)>0
从而当x>0,且x≠1时,f(x)-(
+
)>0,即f(x)>
+
.
(ii)设0<k<1.由于当x∈(1,
)时,(k-1)(x2+1)+2x>0,故h′(x)>0,而
h(1)=0,故当x∈(1,
)时,h(x)>0,可得
h(x)<0,与题设矛盾.
(iii)设k≥1.此时h′(x)>0,而h(1)=0,故当x∈(1,+∞)时,h(x)>0,可得
h(x)<0,与题设矛盾.
综合得,k的取值范围为(-∞,0]
点评:本题考查导数的几何意义:函数在切点处的导数值是切线的斜率、考查构造函数,通过导数研究函数的单调性,求出函数的最值、考查发了讨论的数学思想方法.
(II)将不等式变形,构造新函数,求出新函数的导数,对参数k分类讨论,判断出导函数的符号,得到函数的单调性,求出函数的最值,求出参数k的范围.
解答:解:由题意f(1)=1,即切点坐标是(1,1)
(Ⅰ)
由于直线x+2y-3=0的斜率为
即
(Ⅱ)由(Ⅰ)知
考虑函数
(i)设k≤0,由
当x∈(0,1)时,h′(x)<0,可得
当x∈(1,+∞)时,h′(x)<0,可得
从而当x>0,且x≠1时,f(x)-(
(ii)设0<k<1.由于当x∈(1,
h(1)=0,故当x∈(1,
(iii)设k≥1.此时h′(x)>0,而h(1)=0,故当x∈(1,+∞)时,h(x)>0,可得
综合得,k的取值范围为(-∞,0]
点评:本题考查导数的几何意义:函数在切点处的导数值是切线的斜率、考查构造函数,通过导数研究函数的单调性,求出函数的最值、考查发了讨论的数学思想方法.
练习册系列答案
相关题目
已知函数f(x)=x2-bx的图象在点A(1,f(1))处的切线l与直线3x-y+2=0平行,若数列{
}的前n项和为Sn,则S2010的值为( )
| 1 |
| f(n) |
A、
| ||
B、
| ||
C、
| ||
D、
|